Promet (Pm), 61. pierwiastek układu okresowego, od dawna był jednym z najbardziej tajemniczych lantanowców. W odróżnieniu od innych metali ziem rzadkich nie posiada żadnych stabilnych izotopów – wszystkie jego formy są radioaktywne, co oznacza, że ulega nieustannemu rozpadowi promieniotwórczemu. Z tego powodu przez dekady pozostawał niemal poza zasięgiem nauki – nie udało się dokładnie poznać jego właściwości chemicznych, a o jego zastosowaniach mówiło się tylko w teorii.
Nowy pierwiastek na horyzoncie. Unibil może zmienić oblicze chemii
Teraz jednak naukowcy z Oak Ridge National Laboratory w USA dokonali przełomowego osiągnięcia: udało im się stworzyć i scharakteryzować pierwszy stabilny w roztworze kompleks koordynacyjny prometu. Dzięki temu poznaliśmy nie tylko strukturę wiązań prometu z innymi atomami, ale także jego właściwości elektronowe – i to z dokładnością, o jakiej wcześniej można było tylko marzyć. Szczegóły opisano w czasopiśmie Nature.
Jak ujarzmić promet?
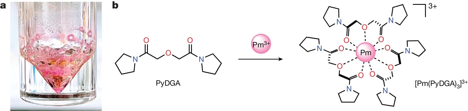
Zespół badawczy użył izotopu promet-147, który mimo że jest radioaktywny, ma relatywnie długi okres półtrwania (ok. 2,6 roku), co czyni go najbardziej “przyjaznym” do eksperymentów. Naukowcy związali promet z organicznym ligandem w wodnym roztworze, tworząc dziewięciowiązaniowy kompleks promet-tlen. W ten sposób uzyskali stabilny związek, który nie rozpadał się natychmiast, dając szansę na jego analizę przy pomocy spektroskopii absorpcji rentgenowskiej.
Czytaj też: Ten pierwiastek odmieni losy światowej energetyki. Japończycy dokonali niemożliwego
To umożliwiło nie tylko dokładny pomiar długości wiązań, ale także analizę struktury elektronowej tego niezwykle niestabilnego pierwiastka. Jak zauważają autorzy badań, to pierwsze tak dokładne dane na temat chemii prometu w historii.

Badania dostarczyły również nowego wglądu w zjawisko znane jako kontrakcja lantanowców, czyli skracanie długości wiązań metalu z tlenem w miarę wzrostu liczby atomowej w grupie lantanowców. Promet okazał się kluczowym punktem tej serii: długości wiązań skracają się bardziej dynamicznie od lantanu do prometu niż w dalszej części szeregu. To fundamentalne odkrycie chemiczne może mieć bardzo praktyczne konsekwencje: precyzyjna wiedza o właściwościach lantanowców może pomóc w ich efektywnym rozdzielaniu – co jest szczególnie istotne w kontekście oczyszczania pierwiastków promieniotwórczych i odzysku materiałów jądrowych.
Mimo swojej niedostępności, promet znajduje zastosowanie w kilku niszowych, lecz kluczowych technologiach. Izotop promet-147 jest wykorzystywany m.in. w farbach luminescencyjnych, oświetleniu i tzw. radioizotopowych źródłach energii – akumulatorach, które zasilają rozruszniki serca, systemy komunikacyjne czy pociski kierowane. Coraz częściej mówi się też o jego potencjale w medycynie nuklearnej, zwłaszcza w diagnostyce i terapii nowotworowej. Problemem pozostaje jednak produkcja – obecnie jedynym globalnym producentem prometu-147 jest amerykański Departament Energii.
Odkrycie zespołu z Oak Ridge wpisuje się w szersze wysiłki naukowców zmierzające do lepszego zrozumienia i wykorzystania pierwiastków ziem rzadkich – zasobów kluczowych dla współczesnych technologii, od smartfonów po zieloną energię. Równolegle z pracami nad prometem, w Argonne National Laboratory rozwijane są nowe metody recyklingu paliwa jądrowego i odzyskiwania wartościowych metali, takich jak uran czy neodym, za pomocą wirujących reaktorów kontaktowych.

