Jak powstały cła Trumpa?
Donald Trump zapowiadał wprowadzenie ceł wzajemnych na poziomie 10 proc. W wypowiedziach twierdził też, że jego administracja nałoży cła wysokości połowy stawki, która w danym kraju obowiązuje na dobra importowane z USA. Realnie jednak wysokość ceł jest bardzo zróżnicowana. Towary z Unii Europejskiej obłożono cłami wysokości 20 proc., kanadyjskie i meksykańskie produkty – 25 proc., a chińskie aż 54 proc. Osobnym przypadkiem są samochody i części do nich – na nie obowiązują cła wysokości 25 proc.
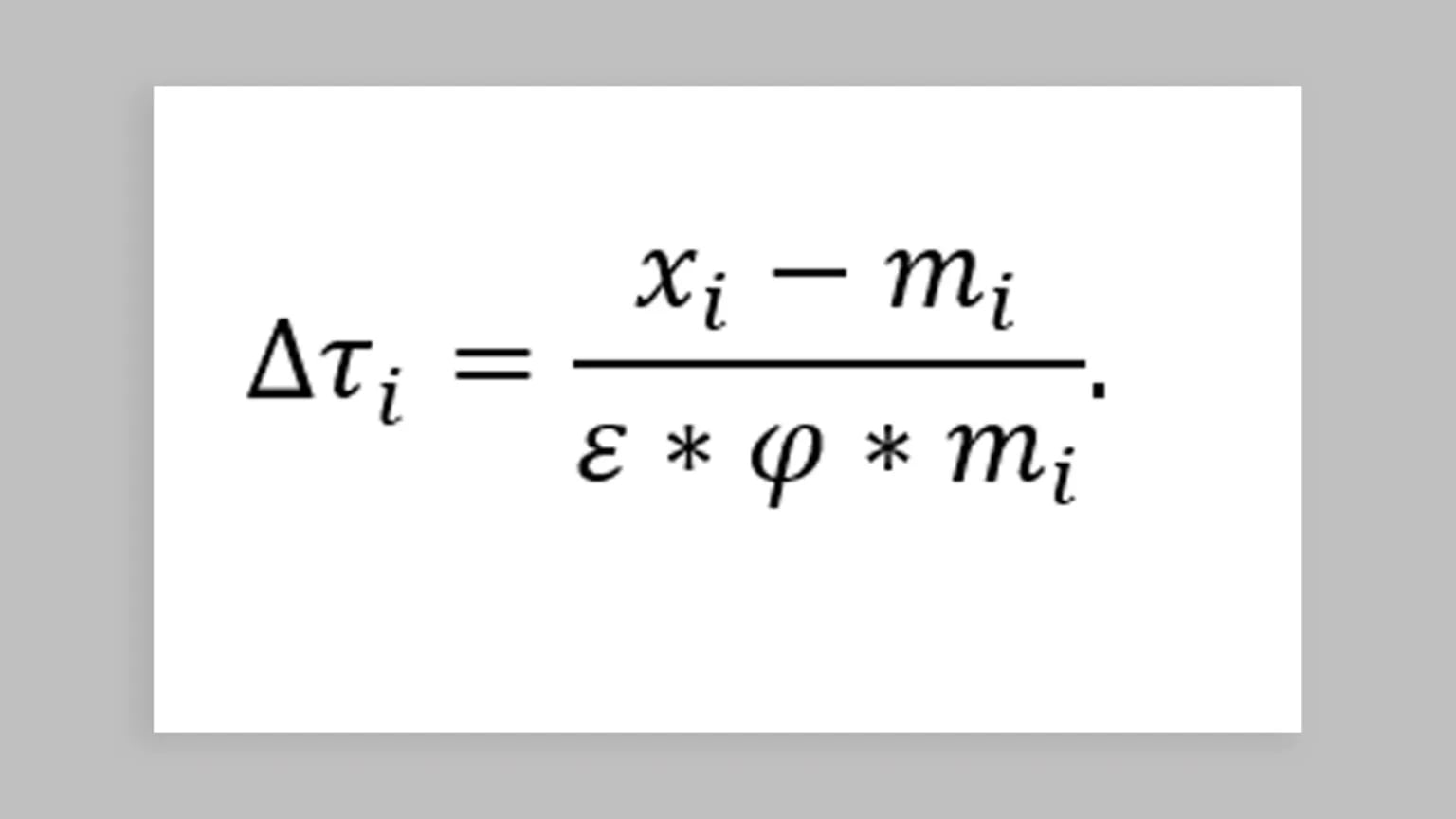
Specjaliści mieli więc zagadkę: z czego wynikają różnice w cłach dla różnych krajów? Biały Dom wyjaśnił, publikując wzór na cło. Jest ono zależne nie od obowiązującej w danym kraju stawki cła, ale od deficytu handlowego. Wzór wygląda następująco:

Jak go interpretować? W skrócie jest to iloraz deficytu handlowego (eksport kraju do USA, czyli x minus import kraju z USA, czyli m) i wartości importowanych towarów (m). Następnie należy podzielić uzyskaną wartość przez 2 i można uzyskać wartość procentową wzajemnego cła dla danego kraju.
Czytaj też: Nasze portfele ucierpią. Jak cła Trumpa dotkną technologii i motoryzacji?
Zapowiadane 10 proc. również ma miejsce w systemie ustalania wysokości cła – to dolna granica, czyli minimalna wysokość. Nawet jeśli handel z danym krajem generuje nadwyżkę. Wielu amerykańskich dziennikarzy określiło wzór jako „podejrzany”. Ekonomista prof. Witold Orłowski zaznaczył, że jest to metoda absolutnie nieznana:
Cła europejskie wynoszą kilka procent, a oni doszli do wniosku, że to jest odpowiednik 40 proc., tłumacząc, że liczyli inne opłaty, które nie są cłami, a faktycznie taką rolę pełnią. Można się domyślać, dlatego że parokrotnie padło coś na temat VAT-u, że mógł on zostać doliczony. Rzeczywiście, VAT jest podatkiem nakładanym na amerykański import. Jest nakładany na wszystkie sprzedawane towary. Ale to mogłoby być wyjaśnieniem, w jaki sposób można było dojść do 40 proc. obciążeń. Jednak metoda jest absolutnie nieznana, nikt nie ma pojęcia, w jaki sposób zostało to obliczone.
Tusk i inni o cłach Trumpa
Wysokość ceł nałożonych na różne kraje nie spotkała się z ciepłym przyjęciem i nie powinno to zaskakiwać. Według niektórych przypominają one bardziej bariery handlowe niż opłaty importowe. Zaskakuje zarówno sposób ich obliczania, jak i wysokość, jaka z tego wynika.
Przewodnicząca Komicji Europejskiej Ulsula von der Leyen zaznaczyła, że cła administracji Trumpa są poważnym ciosem dla światowej gospodarki. Jej zdaniem grożą wzrostem inflacji i podniosą koszty życia milionów konsumentów. KE pracuje obecnie nad rozporządzeniem dotyczących ceł na stal i aluminium, będącym odpowiedzią na wcześniejsze działania administracji Donalda Trumpa, ale zaznacza też, że nie jest jeszcze za późno na negocjacje. Komisarz ds. handlu Marosz Szefczovicz wyraził gotowość do rozmów. Wspomniane cła wejdą w życie w połowie kwietnia.
Premier Donald Tusk napisał na X, że amerykańskie cła na importowane produkty zmniejszy PKB Polski o 0,4 proc. To strata opiewająca na 10 miliardów złotych dla polskiej gospodarki. Zaznaczył też, że to będzie trudna próba dla przyjaźni polsko-amerykańskiej.

Polski Instytut Ekonomiczny mówi o spadku PKB między 0,38 i 0,43 proc. i zaznacza, że około połowy polskich towarów trafia do USA z pomocą pośredników i innych krajach.
Inni politycy wypowiadają się mniej dyplomatycznie. Minister gospodarki Niemiec Robert Habeck ostrzegł przed „dniem inflacji”, gdy cła Trumpa wejdą w życie. Rzeczniczka rządu Francji Sophie Primas w rozmowie z telewizją RTL powiedziała, że Donald Trump myśli, że jest panem świata. Emmanuel Macron uważa politykę celną USA za brutalną i nieuzasadnioną. Francja jest gotowa na wojnę handlową.
Chińska agencja prasowa Xinhua poinformowała, że w odwecie Chiny nałożą cła wysokości 34 proc. na produkty importowane z USA.
Sam Donald Trump zapowiada zaś boom amerykańskiej gospodarki, co w obliczu sytuacji wydaje się skrajnie nielogiczne. Rynki i giełda mają kwitnąć, ale na razie wszystko jest na czerwono i pod kreską.
